Третя платіжка за газ — хто заплатить 1 тис. грн у серпні

Ціни на газ — хто з українців додатково заплатить 1 тис. грн у серпні
Квитанції та гроші. Фото: Новини.LIVE, Ігор Кузнєцов

Українських споживачів газу, які є мешканцями багатоквартирних будинків, закликали дотримуватись законодавства та своєчасно оплачувати послугу за технічне обслуговування газових мереж (третя платіжка за газ). Це дозволить не наражати на небезпеку себе та сусідів.

Про деталі такої послуги розповіли у пресслужбі Миколаївської міської філії "Газмережі".

Реклама
Читайте також:

Що передбачає послуга з техобслуговування

У філії зазначили, що технічне обслуговування внутрішньобудинкових газових мереж є не просто вимогою законодавства, а життєво необхідною складовою безпеки.

Фахівці компанії під час проведення техобслуговування виявляють та усувають:

  • витоки газу;
  • несправності арматури;
  • порушення герметичності з’єднань. 

Йдеться про техобслуговування газопроводів спільної власності:  газопроводи, розташовані поза квартирами, у під’їздах та на фасадах будинків. 

Саме від виявлення відповідних дефектів залежить вчасність запобігання вибухам, пожежам, отруєнням та іншим надзвичайним ситуаціям, що несуть потенційну загрозу для життя та здоров’я жителів багатоквартирного будинку.

Попри важливість відповідних робіт, громадяни накопичують борги за відповідний сервіс. Зокрема, лише минулого року споживачі заборгували Миколаївській філії "Газмережі" близько 4 млн грн за надані послуги техобслуговування.

"Ми закликаємо мешканців дотримуватись законодавства, своєчасно оплачувати послуги та не наражати на небезпеку ані себе, ані своїх сусідів. Безпека починається з відповідальності — кожного з нас", — повідомили у філії.

Якщо громадяни отримають "третю платіжку" у серпні, це означає, що фахівці Газмережі вже провели техобслуговування газопроводів спільної власності у конкретному будинку.

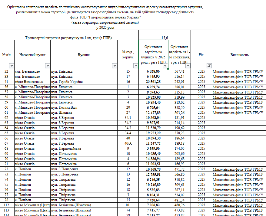
Скільки коштує сервіс техобслуговування у 2025 році

Згідно із законом "Про житлово-комунальні послуги", в тариф входить вартість обстеження, ремонти газорозподільної системи і її обладнання.

У 2025 році у Миколаївській області найменше коштує така перевірка спільних газопроводів з розрахунку на одну квартиру близько 100 грн. Однак у старих будинках з невеликою кількістю квартир, які мають розгалужену систему будинкових газопроводів, сервіс може обійтися у понад 1 тис. грн. Приблизно такі ж розцінки діють і в інших регіонах.

Проте оплата такої послуги має відбуватися один раз на три чи п’ять років, залежно від віку будинку та газових мереж:

  • якщо більш ніж 25 років — раз на три роки;
  • менш ніж 25 років — раз на п’ять років.

Для того щоб отримати конкретну суму, загальну вартість ділять на кількість мешканців у будинку.

ціни на газ 2025
Ціни на послугу. Джерело: Миколаївська міська філія "Газмережі"
ціни на газ 2025
Тариф на послугу. Джерело: Миколаївська міська філія "Газмережі"
ціни на газ 2025
Ціни на послугу. Джерело: Миколаївська міська філія "Газмережі"

Раніше ми писали, що українці мають періодично проводити актуалізацію даних в Оператора газорозподільних мереж (ГРМ). Йдеться про потребу оновити інформацію за особовим рахунком.   

Також ми розповідали, що в Нафтогазі пояснили, коли можуть не повернути кошти після переплати чи помилкової оплати за газ. Для цього необхідно подати спеціальну заяву на повернення грошей на ім'я компанії. 

ціни на газ комунальні послуги гроші газопостачання газ
Реклама
Реклама
Реклама
Реклама